k-means clustering in Python [with example]
k-means clustering
k-means clustering is an unsupervised, iterative, and prototype-based clustering method where all data points are grouped into k number of clusters, each of which is represented by its centroids (prototype). The centroid of a cluster is often a mean of all data points in that cluster.
The data points in a cluster are closest to the centroids of that cluster. There is a high similarity between data points in a cluster (high intra-class or within-cluster similarity) and data points from one cluster is dissimilar to the data points of another cluster (low inter-class or between-cluster similarity).
The similarity and dissimilarity are calculated using the clustering distance between the data points. It is often calculated using the Euclidean or correlation distance (e.g., Pearson, Spearman, Kendall correlation distances)
Steps involved in k-means clustering algorithm,
- Choose the k number of clusters and determine their centroids
- Assign each data point to its nearest centroid using distance measures
- Recalculate the new centroids and again assign each data point to its nearest centroid
- Repeat step 3 and 4 until centroids do not change or no change in criterion function (J)
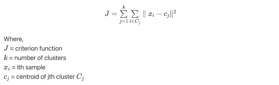
Suppose we have (x1, x2, …, xn) samples in m dimensions, then k-means clustering divides the n samples into k clusters such that the total within-cluster sum of squares is minimized,
k-means clustering finds the optimal number of clusters (k) while minimizing the clustering criterion function (J). Each k cluster contains at least one data point. k-means method produces flat cluster structure i.e. there is no nested structure as in hierarchical clustering.
Perform k-means clustering in Python
For this example, you will require sklearn, pandas, yellowbrick, seaborn and matplotlib Python packages. Check
for how to install Python packages
Get dataset
We will generate a random dataset with two features (columns) and four centers (number of class labels or clusters) using
the make_blobs function available
in the sklearn package.
We will pass the following parameters to make_blobs function,
- n_samples: number of samples or observations (rows)
- n_features: number of features or variables (columns)
- centers: number of clusters to create
- cluster_std: the standard deviation of the clusters. The lower the standard deviation, the closer will be data points in a given cluster
- random_state: Set this to any int (generally 0 or 42) to get the same output when you run it multiple times.
When there is a randomization process involved, you should use
random_stateto create reproducible output. If you don’t use this parameter, you may get different output than presented in this article.
from sklearn.datasets import make_blobs
import pandas as pd
dataset, classes = make_blobs(n_samples=200, n_features=2, centers=4, cluster_std=0.5, random_state=0)
# make as panda dataframe for easy understanding
df = pd.DataFrame(dataset, columns=['var1', 'var2'])
df.head(2)
var1 var2
0 2.204387 1.560857
1 -1.133740 2.684673
Compute k-means clustering
Now, use this randomly generated dataset for k-means clustering using KMeans class and fit function
available in Python sklearn package.
In k-means, it is essential to provide the numbers of the cluster to form from the data. In the dataset, we knew that there are four clusters. But, when we do not know the number of numbers of the cluster, we have to use methods such as Elbow or Silhouette methods for finding the optimal number of clusters in the dataset. Here, I will use the Elbow method to find the optimal number of clusters.
from yellowbrick.cluster import KElbowVisualizer
model = KMeans()
visualizer = KElbowVisualizer(model, k=(1,12)).fit(df)
visualizer.show()

In the above figure, the optimal number of clusters (k) is plotted against the distortion (total of within-cluster sum of squares for a given number of k). The optimal number of k is a point where there is a bend in the curve (elbow or knee). Based on the elbow method, the optimal number of clusters (k) is 4
If the data is not well clustered, the elbow method may not work.
In KMeans, n_clusters is the most important parameter and defines the number of clusters to form (default=8).
For this example, set this value to 4 for computing the k-means clustering,
Another important parameter is init, which defines the method initialization to use (default=’k-means++’). k-means++ algorithm uses the seeding technique for centroid initialization which is better than the random initialization method.
from sklearn.cluster import KMeans
kmeans = KMeans(n_clusters=4, init='k-means++', random_state=0).fit(df)
Once the k-means clustering is completed successfully, the KMeans class will have the following important attributes to
get the return values,
labels_: gives predicted class labels (cluster) for each data pointcluster_centers_: Location of the centroids on each cluster. The data point in a cluster will be close to the centroid of that cluster. As we have two features and four clusters, we should get four locations.inertia_: gives within-cluster sum of squares. This is a total of the within-cluster sum of squares for all clusters.n_iter_: number of iterations that k-means algorithm runs to get a minimum within-cluster sum of squares
kmeans.labels_ # same as kmeans.predict(df)
array([2, 0, 3, 1, 2, 3, 0, 3, 3, 3, 3, 2, 0, 0, 2, 3, 1, 1, 1, 2, 1, 0,
2, 0, 2, 2, 1, 2, 2, 3, 1, 3, 0, 2, 0, 3, 0, 3, 3, 1, 1, 1, 1, 3,
2, 0, 3, 1, 1, 3, 1, 0, 0, 1, 3, 1, 0, 2, 3, 2, 1, 3, 2, 3, 1, 3,
2, 1, 0, 0, 2, 2, 3, 3, 0, 1, 0, 0, 2, 2, 1, 3, 2, 0, 0, 3, 3, 2,
0, 0, 1, 1, 1, 3, 3, 2, 0, 1, 3, 3, 1, 2, 2, 1, 1, 0, 3, 2, 2, 3,
1, 0, 0, 2, 2, 3, 0, 0, 1, 3, 1, 0, 3, 2, 3, 0, 3, 0, 2, 3, 0, 2,
0, 1, 1, 0, 1, 1, 2, 1, 2, 0, 2, 2, 0, 2, 3, 2, 0, 1, 1, 1, 3, 0,
2, 3, 1, 0, 1, 2, 1, 2, 2, 0, 0, 1, 3, 2, 2, 0, 2, 3, 0, 1, 1, 1,
3, 3, 0, 3, 0, 2, 3, 2, 3, 0, 0, 1, 3, 1, 2, 2, 3, 1, 0, 0, 0, 3,
1, 2], dtype=int32)
kmeans.inertia_
94.02242630751765
kmeans.n_iter_
2
kmeans.cluster_centers_
array([[-1.60782913, 2.9162828 ],
[-1.33173192, 7.7400479 ],
[ 2.06911036, 0.96146833],
[ 0.91932803, 4.34824615]])
Get each cluster size,
from collections import Counter
Counter(kmeans.labels_)
Counter({2: 50, 0: 50, 3: 50, 1: 50})
k-means clustering has four clusters of size 50, 50, 50 and 50.
Visualization of k-means clustering
Visualize the cluster as scatter plot and color the clusters using predicted class labels,
import seaborn as sns
import matplotlib.pyplot as plt
sns.scatterplot(data=df, x="var1", y="var2", hue=kmeans.labels_)
plt.show()
Plot k-means clustering plot with centroids,
sns.scatterplot(data=df, x="var1", y="var2", hue=kmeans.labels_)
plt.scatter(kmeans.cluster_centers_[:,0], kmeans.cluster_centers_[:,1],
marker="X", c="r", s=80, label="centroids")
plt.legend()
plt.show()
Accuracy of k-means clustering
As k-means is a clustering method (not classification), the accuracy should not be evaluated. This is because we do not train the model with class label data and therefore there will be inconsistency in between true class labels and predicted class labels. You may compare the scatterplot of original dataset and scatterplot after k-means clustering for evaluating the performance of k-means clustering.
k-means clustering limitation
- In k-means clustering, it is essential to provide the number of clusters to form from the data. If the dataset is well-separated, it would be easy to identify the optimal number of clusters using the elbow method. But, if the data is not well-separated, it would be difficult to find the optimal number of clusters.
- k-means clustering is not applicable to the categorical data as it’s prototype is based on the centroid. If you have categorical data, it is better to use k-medoids (Partition Around Medoids - PAM) clustering method. In k-medoids, the prototype is medoid (most representative data point for a cluster).
- k-means clustering is sensitive to outliers
Related reading
- Performing and visualizing the Principal component analysis (PCA) from PCA function and scratch in Python
- Support Vector Machine (SVM) basics and implementation in Python
- Logistic regression in Python (feature selection, model fitting, and prediction)
Reference
- Altman N, Krzywinski M. Points of significance: clustering. Nature methods. 2017 Jun 1;14(6):545-7.
- Govender P, Sivakumar V. Application of k-means and hierarchical clustering techniques for analysis of air pollution: A review (1980–2019). Atmospheric Pollution Research. 2020 Jan 1;11(1):40-56.
- Barbakh WA, Wu Y, Fyfe C. Non-standard parameter adaptation for exploratory data analysis. Berlin, Germany: Springer; 2009 Sep 24.
- Cluster Analysis: Basic Concepts and Algorithms
If you have any questions, comments, corrections, or recommendations, please email me at reneshbe@gmail.com
This work is licensed under a Creative Commons Attribution 4.0 International License